Saturday, December 3, 2022

WELSIM发布2.4版本,更好地支持开源社区

 通用工程仿真分析软件WELSIM发布了最新的2.4版本。相对于上一个版本,2.4版本含有许多新的功能与特征,对开源求解器与开源生态有了更多的支持。

新功能与产品优化详情如下:

  • 支持输出开源求解器MFEM的网格格式。
  • 支持生成开源求解器FrontISTR的输入文本。
  • 计算结果输出格式支持了开源后处理器Paraview自有格式(*.pvd)。
  • 单位模块中,增加了新单位制:g-cm-um。支持了8个新的单位。
  • 材料编辑模块中,增加了60种新的材料属性,增加了1个新材料,增加30个测试材料。同时支持导出为OpenRadioss格式(*.rad)的材料文本。
  • 自v2.0版本以来,再次发布Linux版本,适用于Ubuntu 20.04 LTS及以上发行版。
  • 曲线拟合支持了CPU多核并行计算。
  • 软件整体优化与提升,更加稳定、准确,且更加易于使用。升级多个第三方依赖库。

Friday, November 25, 2022

使用MatEditor生成OpenRadioss材料数据文件

OpenRadioss是一款开源的企业级显式动力学分析软件,由于其强大的功能与悠久的历史。在2022年9月宣布开源时,获得了行业内的很多关注。然而,OpenRadioss作为一款命令行方式求解器,并没有一款简单易用的前端可视化配套程序。对于首次使用者来说,有比较大的学习曲线。对于OpenRadioss项目方和具有仿真需求的使用者,甚至整个仿真社区,一款好用的OpenRadioss可视化前端软件都是具有重要意义的。

MatEditor是由WelSim于2019年9月发布的一款免费的材料编辑软件(参见《一款免费的材料编辑工具 MatEditor》)。由于其丰富的功能与简单好用的交互界面,得到了很多用户的认可。除了常规的材料属性编辑以外,MatEditor后期又增加了测试数据曲线拟合功能(参见《超弹材料模型及其曲线拟合》)。最近,MatEditor支持了OpenRadioss的材料格式文本输出功能。毫无疑问,MatEditor是对OpenRadioss支持最好的免费材料编辑软件,相关功能介绍如下。

支持单位转换

目前MatEditor支持了工程仿真中常用的8种单位制,分别如下。

  • Metric kg-m-s
  • Metric g-cm-s
  • Metric kg-mm-s
  • Metric tonne-mm-s
  • Metric decatonne-mm-s
  • Metric kg-um-s
  • US Customary lbm-ft-s
  • US Customary lbm-in-s
  • Metric g-cm-us

用户可以随时更改系统单位制,所生成的OpenRadioss材料文件也会基于当前的系统单位制,输出时自动进行单位转换。

工程仿真分析中,会涉及到大量的单位。目前MatEditor已经支持81种不同的纲量。下图给出了结构分析中的常用的压力纲量单位设置。

保存与读取

MatEditor支持数据持久化。用户可以将当前创建的所有材料节点,保存为wsmat文件。文件可以在其他机器读取,实现数据共享。wsmat文件是一种XML格式的ASCII文件,兼顾数据读写性能的同时,也支持人工阅读。

wsmat文件示例如图所示。支持多个材料的读写。

支持表格输入

材料属性中,除了常规的常数以外。还需要输入大量的实验数据,如应变-应力曲线。MatEditor不仅支持常规的表格输入,还支持了基于应变率,温度,和频率的多维表格。在输入了表格数据同时,能够通过曲线窗口观察输入曲线的形态。数据输入不仅支持手动逐个输入,也支持复制粘贴输入,同时可以读取外部文件输入。

输出OpenRadioss材料文本

导出OpenRadioss文件(.rad)文件非常便捷,MatEditor的工具栏和菜单栏都提供了按钮,材料定义完成后,点击即可输出。

输出的rad文件实例如下。文件中定义了单位,和所有材料属性。值得一提的是,MatEditor支持在一个rad文件中导出多个材料。

抑制指定材料

在编辑材料时,有些材料属性添加以后并不使用,此时可以使用抑制功能,将属性暂时屏蔽。输出的rad文件不会含有被抑制的材料数据。如图所示,抑制和激活的操作简便,同时通过划线字体,可以明显分辨被抑制的材料属性。

目前支持的OpenRadioss 材料模型

目前MatEditor已经支持了大量的OpenRadioss材料属性,同时还在不断增加中。已经支持的材料对应列表如下。

超弹与粘弹材料

  • LAW34 — Boltzmann
  • LAW35 — Maxwell-Kelvin-Voigt
  • LAW40 — Maxwell-Kelvin
  • LAW42 — Odgen 1/2/3
  • LAW92 — Arruda-Boyce
  • LAW94 — Yeoh 1/2/3
  • LAW100 — Polynomial, Neo-Hookean, Mooney-Rivlin2

塑性材料

  • LAW2 — Johnson-Cook
  • PLAS_ZERIL — Zerilli-Armstrng
  • LAW32 — Hill
  • LAW36 — Rate-Dependent Multilinear Hardening
  • LAW44 — Cowper-Symonds
  • LAW93 — Orthotropic Hill
  • LAW48 — Zhao
  • LAW49 — Steinberg-Guinan
  • LAW52 — Gurson
  • LAW57 — Barlet3
  • LAW78 — Yoshida-Uemori
  • LAW79 — Johnson-Holmquist
  • LAW84 — Swift-Voce
  • LAW103 — Hensel-Spittel
  • LAW110 — Vegter

失效模型

  • ALTER — Glass Failure
  • BIQUD — BiQuadratic
  • COCKCROFT — Cockcroft
  • CONNECT — Connect
  • EMC — ExtendedMohr-Coulomb
  • ENERGY — Energy
  • FABRIC — Fabric
  • FLD — Forming Limit Diagram
  • GURSON — Gurson
  • HASHIN — Hashin
  • HC_DSSE — Ladeveze Delamination
  • JOHNSON — Johnson-Cook
  • MULLINS_OR — Mullins Effect
  • NXT — NXT
  • ORTHBIQUAD — Orthotropic Biquad
  • ORTHSTRAIN — Orthotropic Strain
  • PUCK — Puck
  • TBUTCHER — Tuler-Butcher
  • TENSSTRAIN — Tensile Strain
  • WILKINS — Wilkins
  • WIERZBICKI — Wierzbicki

状态方程 (EOS)

  • Compaction EOS
  • Gruneisen EOS
  • Ideal Gas EOS
  • Linear EOS
  • LSZK EOS
  • Murnaghan EOS
  • NASG EOS
  • Nobel-Abel EOS
  • Osborne EOS
  • Polynomial EOS
  • Puff EOS
  • Stiff-Gas EOS

此外,一些基本的材料属性都有支持。如密度,线弹性,ALE等都已经支持了OpenRadioss。

总结

目前MatEditor已经满足了大部分OpenRadioss分析时所需的材料类型。MatEditor还在不断地迭代与开发之中,随需求会增加更多的单位系与材料,支持更多的输出格式与开源软件。MatEditor终身免费,可以用于学术研究或商业应用。如果您在论文或产品中使用了MatEditor,欢迎引用WelSim的用户手册。如果您对MatEditor有任何新功能的需求,欢迎在WelSim的GitHub页面提出。

WelSim不隶属于Altair,OpenRadioss。和Altair,OpenRadioss的开发者没有直接关系。这里引用OpenRadioss仅用作技术博客文章与软件使用的参考。

Monday, November 21, 2022

结构有限元仿真中的弹塑性模型

 塑性成型是工业生产中最重要的加工方式之一。小到弹簧绕簧,大到汽车车身锻造都是一种塑性成型过程。基本的塑性成型生产方式有自由锻,模锻,钣金冲压,挤压,轧制,拉拔等。同时,材料在损伤失效前,大多会经历塑性变形的过程,了解材料的塑性变形过程,对于生产与生活安全都有着重要意义。

塑性变形是指材料变形超过弹性极限(也称屈服应力),表现出复杂的应变-应力关系,此时即使卸载外力也无法恢复原状。材料进入塑性阶段后,如果应变持续增加,应力开始减小(也称应变软化),直到材料失效断裂。影响塑性应变的因素有很多,应力、应变率、 温度,也有加载历史,以及一些材料本身因素,如损伤等。为了更好地了解并描述塑性,各种塑性模型应运而生。

塑性屈服准则

屈服准则是塑性理论中的起点。是一个从弹性到塑性的过渡点问题。常用屈服应力或屈服函数来描述这个阶段。弹塑性分析基于屈服准则来判定材料是处于弹性范围内还是已经进入塑性流动状态,初始屈服条件给出了材料刚进入塑性变形的应力状态。目前常用的工程材料的屈服准则有von Mises,Drucker–Prager,Tresca,Mohr-Coulomb,和Barlat。在各向异性材料中,屈服方程常通过等效应力来表达。而在各向同性系统中,屈服应力是一个常量。

塑性流动准则

流动准则是用来描述塑性应变增量和应力增量之间的关系,并在此基础上建立弹塑性本构关系。当构件发生塑性应变时,流动准则定义了应变方向。在材料达到屈服后,流动准则可以描述每一个荷载增量的作用下,塑性应变的各个分量是如何发展的。在数学层面,根据与屈服面是否正交,将流动准则分为相关与不相关准则。金属材料一般为相关流动,而岩土则多为不相关塑性流动。同时,在粘塑性变形过程中,流动准则起着更为重要的作用。

塑性硬化准则

硬化准则规定材料进入塑性变形后的形式。当材料经过屈服阶段的塑性变形后,卸载,再加载到屈服,新的屈服点要比原屈服点高一些。那第一次屈服点就对应着“初始屈服准则”,每一次的屈服都比上一次高一点,这个发展的过程就是硬化。对于没有硬化效应的理想弹塑性材料,后继屈服函数和初始屈服函数一致。

按照变形的方向性,如果一个方向加载-卸载作用后,各个方向上的硬化效果相同,就叫做“等向硬化”;如果一个方向加载-卸载作用后,各个方向上的硬化效果不同,就叫做“随动硬化”。比如等向强化模型通常采用Von Mises(各向同性)屈服准则,对于金属、高分子多聚物,以及饱和地质材料等有很好的近似度。随动硬化模型可采用Hill(正交各向异性)屈服准则,屈服过程需要考虑应力方向与轴向的相对关系,可用于微结构或宏观金属的锻造过程。

在每种硬化模型中,又分为双线性、多线性和非线性模型。三者都是用来描述应力-应变增长曲线的,曲线给出了屈服应力、弹性模量等重要力学信息。双线性模型是用两条线段来描述,多线性模型是用多条线段来描述,一般使用实验得到的应变-应力数据表达。非线性模则是用一段非线性函数和参数确定塑性属性。

温度效应与加载、卸载准则

在冲击载荷下,塑性应变能大部分转化为热能,导致材料温度升高,升高的温度又会影响材料物理性能,因此在很多塑性分析中,都会将塑性热考虑到计算中。同时由于材料的硬化,加载与卸载过程有时也需要区别对待。这也是很多塑性计算需要考虑加载、卸载准则的原因。

常见的塑性模型

Johnson-Cook模型

Johnson-Cook模型广泛应用于各向同性的弹塑性材料。Johnson-Cook 本构主要适用于应变率小于1e4 s-1的变形。真实应力的表示为

其中屈服应力a应大于0,塑性硬化指数n应小于等于1。Johnson-Cook具有形式简单、易于计算的特点,并且可以同时反映出塑性应变、应变率、和温度的作用,是结构仿真中最常应用的塑性模型。输入参数如下图所示

Zerilli-Armstrong模型

和Johnson-Cook类似,是一种用于模拟各向同性的弹塑性材料。真实应力的表达式为

其中屈服应力C0应大于0,塑性硬化指数m应小于等于1。输入参数如下图所示

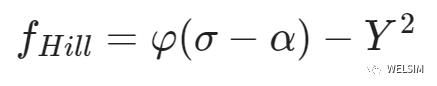
Hill 模型

用于描述正交各向异性的塑性材料。屈服应力定义为

Hill模型是应用最为广泛的正交各向异性弹塑性模型。输入参数如下图所示

基于应变率的多线性硬化模型

通过表格数据定义各向同性弹塑性变形。输入数据为在不同应变率下的应变-应力关系。输入数据如图所示。

Orthotropic Hill模型

正交各向异性弹塑性模型。对于实体单元,等效应力定义为:

输入参数如下图所示。

Cowper-Symonds模型

和Johnson-Cook模型类似, Cowper-Symonds用于各向同性的塑性模型。应力可以通过三个应力参数,表格数据,或者两者的结合表达。其中,三参数表达式为:

其中屈服应力a应大于0,塑性硬化指数n应小于等于1。输入参数如下图所示:

Zhao模型

此模型可以描述基于塑性应变率变形的弹塑性材料。应力计算公式为:

其中屈服应力A应大于0,塑性硬化指数n应小于等于1。当应变率小于参考应变率,应力简化为:

输入参数如下图所示。

Steinberg-Guinan模型

此模型增加了热软化效应的弹塑性模型。屈服应力的表达式如下:

输入参数如下图所示。

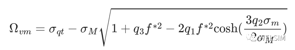
Gurson模型

Gurson模型可以用于粘弹塑性材料,尤其是多孔材料的计算。屈服应力可以从实验数据中获得,也可以通过Cowper-Symond模型计算得到。对于粘塑性流体下的von Mises准则,可以通过以下公式计算:

相关的参数定义如下。

Barlat3模型

Barlat3模型一种正交各向异性的弹塑性模型。常用于金属成型加工工程,如铝合金加工。因此大量应用与壳单元。塑性硬化工程可通过参数或者表格数据表达。其中平面应力的各向异性屈服准则可以通过以下公式表达

杨氏模量在塑性变形过程中的演化可以通过如下公式表达。

输入参数如下图所示:

Yoshida-Uemori 模型

Yoshida-Uemori模型可以用于大应变循环塑性变形的工况。这个模型基于屈服面与包络面理论。对于实体单元,常用vonMises屈服准则。对于板壳单元,常用Hill或Barlat3屈服准则。对应的屈服准则表达式如下:

输入参数如下图所示:

Johnson-Holmquist模型

Johnson-Holmquist模型常用于脆性材料的弹塑性过程,如陶瓷,玻璃等。此模型还可以与失效模型结合。等效应力表达式为

输入参数如下图所示:

Swift-Voce模型

Swift-Voce弹塑性模型结合Johnson-Cook应变率硬化和温度软化效果。可用于正交各向异性材料,同时允许二次的非关联流动法则。屈服应力可以通过Swift和Voce模型来综合的表达。

输入参数如下图所示:

Hensel-Spittel模型

Hensel-Spittel模型考虑了应变,应变率和温度的效用。常用于金属的热锻造过程。屈服应力的表达式为

输入参数如下图所示:

Vegter模型

屈服函数表达如下。

输入参数如下图所示:

以上所述塑性模型都支持生成OpenRadioss格式的材料文件。

塑性分析的后处理

在后处理中,弹塑性分析常需要查看额外的结果。如:

  • Equivalent Stress 等效应力。在硬化模型下,屈服应力的当前值。
  • Accumulated Plastic Strain 累积塑性应变。指在变形历史中,塑性应变率在某一路径上的总和。
  • Stress ratio 应力率。弹性应力与当前屈服应力的比值,是在荷载增量下产生塑性变形的指示指标。>1时,当前产生塑性变形;<1时,当前为弹性变形;=1时,当前刚达到屈服。

总结

本文介绍了有限元分析中常用的塑性模型,这些模型已经能满足大多数的工程应用场景。由于篇幅所限,并未能列出全部的公式,相关塑性模型的具体细节可以从MatEditor或其他软件中的理论手册中查找。